发布日期:2025-01-20 14:30 点击次数:149

引言
配资的优势在于,它可以放大收益。当股票上涨时,配资投资者可以获得比自有资金更高的收益。此外,配资还可以帮助投资者分散风险,因为借贷资金的损失由配资平台承担。
自21世纪初,随着纳米科技的飞速发展,科学家们开始探索一种全新的光学操控方法。超透镜(Metalens)技术,利用亚波长尺度的微纳结构来控制光线传播,具备独特的平面结构和卓越的光学性能,不仅极大地减小了光学系统的体积和重量,而且为光学成像带来了前所未有的可能性。
基本概念和工作原理
超透镜,是一种超薄的人工结构,它通过在二维平面上有序排列的纳米天线阵列,对光波进行调制。这些纳米天线能够对入射光波进行相位延迟、振幅调制和偏振转换,从而实现光束的聚焦、整形和定向传播。超透镜技术的提出,不仅极大地推进了光学器件的微型化和集成化,也为光学系统的设计带来了前所未有的灵活性和创新空间。
图1 超透镜示意图超透镜的工作原理基于广义斯涅耳定律[1],它允许在极小的尺度内调整光学波前的相位和振幅。与传统透镜依赖于介质的厚度变化来改变光波前不同,超透镜通过单元结构的几何变化在传播路径中引入特定相位来实现光波的精确控制。
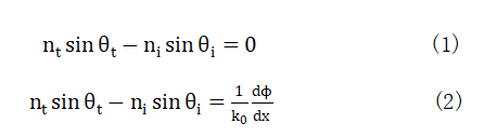
图2 广义斯涅尔定律原理推导图 (a)正常介质光路传播
(b)超材料中光路传播

式(1)是传统斯涅尔定律,式(2)是广义斯涅尔定律,其中ni和nt分别为两种介质的折射率,θi和θt分别为入射角和折射角,dΦ/dx为超表面引入的相位梯度,k0=2π/λ为入射光的波矢。对比两个公式可以发现,当波长、入射角、分界面两边的折射率固定时,通过超表面单元结构引入不同相位梯度,即可改变光线的折射角,实现光线的任意调制。
应用领域
1、实时偏振成像
实时偏振成像技术可以同时形成多幅偏振分辨图像,从而揭示出传统成像中一次拍摄无法显示的信息。用于实时偏振成像的传统光学装置涉及焦平面系统的多个组件,包括分束器、偏振器、波片、级联透镜和多个探测器[2]。偏振成像主要依赖不同偏振光的聚焦,从不同偏振态中提取入射光场的偏振信息,超透镜拥有自由调控出射光场偏振态的能力,因此可以作为偏振成像系统的核心器件。
图3 基于超透镜的实时偏振成像系统2、连续变焦成像
连续变焦成像是近两年手机成像功能中的一个亮点,传统变焦成像通常是通过多个透镜的纵向运动来实现的,复杂的透镜套件使得手机镜头越来越厚;型提出的液态镜头可以用于变焦成像的切换,但其需要改变镜头的形貌,结构不稳定,性能较低。基于超透镜的连续变焦系统有希望可以用于手机等消费电子产品中,作为连续变焦镜头的核心组件[3]。
图4 基于超透镜的连续变焦成像系统3、三维成像
近年来人脸识别、车载距离探测等商用化应用对三维成像和深度成像需求巨大,同时在AR/VR等领域的交互同样需要高精度高集成度的三维成像系统。相较于常规的结构光和TOF方案,超透镜具有多维参数调控和小型集成的优势,一方面其可以取代传统方案中用于准直、衍射或者扩散的单个光学元器件,减小模组体积;一方面还可以实现多功能集成,结合计算成像或者偏振调控等技术,实现单个元件的深度探测功能。相比TOF等方案可以使用更广泛的应用场景,而且高集成度可以嵌入多种消费电子产品中,具有广阔的应用潜力[4]。
图5 基于超透镜的三维成像系统4、AR/VR显示
随着元宇宙的兴起,以三维显示、计算机交互技术等为核心的虚拟现实(virtual reality, VR)一直是学术界和产业界的研究热点。考虑到用户对AR显示设备沉浸感和舒适度的需求,如何减小显示系统的体积和重量,成为当下AR显示技术面临的最大挑战。超透镜的紧凑外形、高分辨率和波前调制灵活性,使其更容易集成于采用新型三维显示技术的AR显示系统中,在解决上述VR/AR难题方面展现出巨大的潜力[5]。
图6 基于超透镜的AR显示系统制备方法
超透镜一般由高折射率的纳米单元结构组成,其制备方法基于半导体工艺延伸而来,主要包含光刻、刻蚀技术,常用的光刻技术主要包含以下几种:
1、基于光刻技术(ArF/KrF)
光刻技术结合曝光和刻蚀工艺,在基板上形成微米和纳米级图形层。适用于半导体和微电子制造、光学等领域,但受限于设备成本高、使用环境要求高、合适的材料有限等。
2、电子束光刻(EBL)
利用电子束直接在覆盖有抗蚀剂的表面上写入设计图案。具有超高分辨率,无需光刻掩膜板,能够制作几十纳米的小尺寸结构,但曝光速度慢,制备成本高,适用于制作光学投影光刻模板、设计验证新光刻技术、实验研究、原型验证等方面。
3、飞秒激光直写光刻(DLW)
飞秒激光束聚焦在感光材料内部,通过光引发剂引发聚合反应,形成微/纳米结构。具有高精度、高灵活性和真三维加工特性,适用于制造任意形状的精密3D微结构,对加工结构的最小尺寸由一定限制。
4、纳米压印技术(NIL)
将具有纳米级尺寸图案的模板通过压印复制图案到高分子材料衬底上。成本低、工期短、产量高、分辨率高,适用于加工聚合物结构。纳米压印技术在有足够精度的掩膜版提供的前提下,是一种适合量产的光刻工艺。
图7 超透镜制备工艺
图8 超透镜微结构图片以上制备方法各有优势和局限,选择合适的方法需要根据超透镜的具体应用需求、成本预算和制造条件来决定。
技术挑战及未来展望
尽管超透镜技术前景广阔,但它在实际应用中仍面临一些挑战,如下:
1、成本问题
超透镜的制造成本相对较高,尤其是在需要精密加工的大面积应用中,成本控制是一个重要挑战。
2、色散问题
超透镜作为衍射型光学元件,存在色散问题,这限制了其在全彩色成像等应用中的性能。
3、制造工艺
超透镜的制造工艺需要达到纳米级别的精度,这对现有的工业加工技术提出了更高的要求。
4、效率提升
提高超透镜的光学效率,尤其是在宽波段工作时,是当前研究的重点之一。
随着材料科学和纳米制造技术的进步,通过在材料、结构、工艺等方面进行创新,上述的技术挑战终将会迎来解决办法。未来,我们有望看到超透镜在更多领域的创新应用,包括但不限于光学通信、量子计算和生物医学成像。
结语
超透镜技术的发展,不仅是光学领域的一次技术飞跃,也是对传统光学设计理念的一次深刻变革。随着研究的深入和技术的成熟,超透镜有望成为推动光学系统向更高性能、更小尺寸和更广应用范围发展的关键技术。
通过这篇文章,希望能够向公众普及超透镜技术的基本知识,展示其在光学领域的应用潜力,以及对未来科技发展的重要意义;也希望能够和更多的伙伴展开相关合作,推动相关技术的快速发展。
参考文献
1、Yu, N. et al. (2011) ‘Light propagation with phase discontinuities: Generalized laws of reflection and refraction’, Science, 334(6054), pp. 333–337.
2、Sattar, S. et al. Review of spectral and polarization imaging systems. Proceedings of SPIE 11351, Unconventional Optical Imaging II. SPIE, 113511Q (SPIE, 2020).
3、Wei, S. B. et al. A varifocal graphene metalens for broadband zoom imaging covering the entire visible region. ACS Nano 15, 4769–4776 (2021).
4、Ni, Y. et al.‘Metasurface for structured light projection over 120° field of view’, Nano Letters, 20(9), pp. 6719–6724 (2020).
5、Yan Li.et al. Ultracompact multifunctional metalens visor for augmented reality displays. PhotoniX,3, 29 (2022).
微纳研究所
水晶光电微纳研究所,专注于微纳光学新产品市场技术调研及研发工作。通过自编算法与设计,配备同行业高端设备,具备芯片镀膜、晶圆光刻、干/湿法刻蚀、纳米压印等核心技术开发和量产能力。目前微纳所已开发的产品包括DOE、扩散片、PBS偏振片、超透镜等,广泛应用于消费电子、车载HUD等领域,可以根据客户需求提供从产品设计开发到量产制造一站式服务。
“水晶技术”系列 往期推荐薄膜光学系列
1. 水晶技术之薄膜光学系列 | 一个肥皂泡的显色之路——光学让世界更美好,薄膜让世界更伟大
2. 水晶技术之薄膜光学系列 | 减反膜——让你我的世界更清晰
3. 水晶技术之薄膜光学系列 | 蒸发镀膜机——让薄膜光学之光照进现实
4. 水晶技术之薄膜光学系列 | 高反射镜——照亮你我的世界
元宇宙系列
1. 水晶技术之元宇宙系列 | 元宇宙之门——AR/VR技术浅析
2. 水晶技术之元宇宙系列 | 水晶光电实现体全息波导片量产落地
3. 水晶技术之元宇宙系列 | 增强现实——光学技术的未来视界(Part I)
4. 水晶技术之元宇宙系列 | 增强现实——光学技术的未来视界(Part II)
5. 水晶技术之元宇宙系列 | 增强现实——光学技术的未来视界(Part III)
6. 水晶技术之元宇宙系列 | 增强现实——光学技术的未来视界(Part IV)
微纳光学系列
1. 水晶技术之微纳光学系列 | 半导体芯片的微观雕刻师——干法刻蚀工艺探秘
2. 水晶技术之微纳光学系列 | 微纳工艺之光刻技术
3. 水晶技术之微纳光学系列 | 微纳工艺之纳米压印技术
车载光电系列
1. 水晶技术之车载光电系列 | 车载显示的最佳载体——HUD
2. 水晶技术之车载光电系列 | HUD中的光学器件(上篇)
NEWS
点击蓝字 关注我们
]article_adlist-->(转自:水晶光电)366股票配资在线炒股配资
海量资讯、精准解读,尽在新浪财经APP